Victron Energy meter three phase 65A ET340
Energy Meter ET340 manual

1. Introduction and usage
This document is the manual for the 3 phase max 65A per phase Energy Meter.
The Energy Meter can be used for four things:
Grid meter, and used as control input for an ESS System (1).
Measure the output of a PV Inverter
Measure the output of a AC Genset
The meter is connected to the Color Control GX. There are two options in its wiring:
Direct connection, either using the RS485 to USB interface with 1.8m cable length, or the 5.0m cable.
Wireless connection via Zigbee
Note that this model is not stocked by Victron Energy, we recommend to purchase it locally.
2. AC Wiring
3-phase diagram:

When used to measure a PV Inverter, terminals 1, 2 and 3 should face the PV inverter to ensure correct direction of current and power.
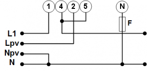
Single phase dual function diagram:
In this diagram, a single meter is used to both measure the grid and a single phase PV Inverter.
On the CCGX go to the grid meter in the Wired AC sensor settings. Make sure 'Phase type' is set to 'Single phase' and 'PV inverter on phase 2' is enabled.